First day back to work, I got a lot of questions from co-workers, Everybody said i looked Better, I am just taking it one day at a time, I suspect they will at one point hassle me , but right now i still got the Man riding there donkey. My plan now is to work a year pay back my 401k and move on,
Huey said
Aug 28, 2014
The Ohio Attorney I spoke to , my bankruptcy Lawyer , Said the agreement is more than fair , it does not limit me to move on , I can work to 10 days and get my back pay and resign if I like. The work place is in KY and I am in OH, That makes things more difficult. I have borrowed some funds from my 401k, working for them for one year will allow me to pay that back and then I can move on with all my investment intact, That along with the insurance. I am going to take this deal and feel it is the best possible outcome and in my own best interest to do so.
-- Edited by Huey on Friday 29th of August 2014 02:18:36 AM
Gator Man said
Aug 28, 2014
Isiscat2011 wrote:
Settling this may well be the way to go but I would strongly encourage you to meet with an attorney in your state who practices in the area of Employment law before signing any settlement agreement. Please keep in mind that the EOC is not your attorney.
You can probably get a free consultation. It would take a couple of hours of your time and you have nothing to lose by doing so. Just tell the EOC atty that your desire is to settle this matter and get back to work asap but that you are having your attorney review the terms of the agreement first. If you are dealing with attorneys no attorney is going to try to get in the way of that. Just do it, okay?
Isiscat is absolutely correct. I have never practiced in the area of Employment law, but would always recommend consulting an attorney on legal issues that could impact your current and future financial circumstances. There may be absolutely no significance regarding how quickly DHL settled this matter, apparently in your favor, but a knowledgeable attorney could advise you if the agreement is fair considering their conduct.
Isiscat2011 said
Aug 28, 2014
Huey wrote:
ok, on another matter, some government agency, called and told me I could have a grant, I ask if I could use it for research, they said yes, does this sound real to you,?
Hi Huey:
No, people calling to offer you unsolicited grant money doesn't strike me as legit on its face. But if you are curious find out exactly who this is before you give them ANY information about yourself. Do a reverse phone number check; ask them for their contact information, etc.
Huey said
Aug 28, 2014
ok, on another matter, some government agency, called and told me I could have a grant, I ask if I could use it for research, they said yes, does this sound real to you,?
Isiscat2011 said
Aug 28, 2014
Hi Huey:
Settling this may well be the way to go but I would strongly encourage you to meet with an attorney in your state who practices in the area of Employment law before signing any settlement agreement. Please keep in mind that the EOC is not your attorney.
You can probably get a free consultation. It would take a couple of hours of your time and you have nothing to lose by doing so. Just tell the EOC atty that your desire is to settle this matter and get back to work asap but that you are having your attorney review the terms of the agreement first. If you are dealing with attorneys no attorney is going to try to get in the way of that. Just do it, okay?
Huey said
Aug 28, 2014
This is the help you can get IF you sign up for the FMLA , The drugs will screw with your job, FMLA is worth the hassle
Huey said
Aug 28, 2014
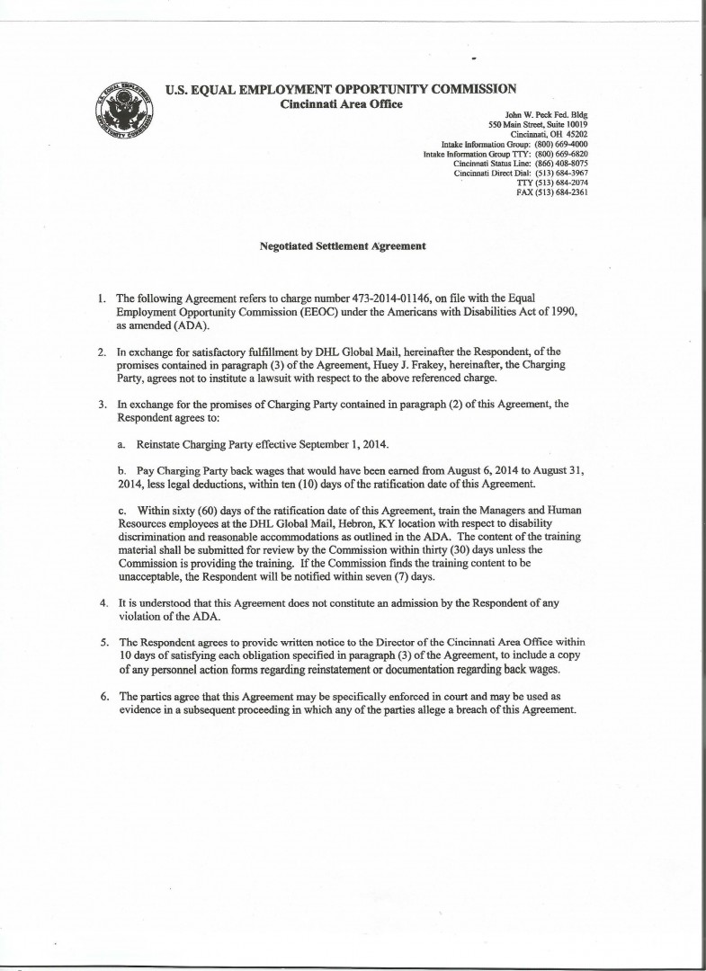
I got the contract already sighed by DHL, So what do you think . Looks fair to me.
I am vary sarcastic about this at this point, So I am taking the low road and not stir up any more resentment, i will reflect on this of-corse but have to clear my mind of all this hate so I can think straight.
Tig said
Aug 20, 2014
Congrats Huey! After all of this has blown over, what kind of working environment do you think you'll have if you choose to return? Might be a place where you have to endure endless rumbling and backstabbing. Any thoughts on this?
Tig
Huey said
Aug 20, 2014
Well It seems this dilemma with my workplace may be worked out, The Federal commissioner from the EEC called and said he was just off the phone with DHL lawyers and They say They are sorry and will give me all my back pay and have ask me back to work, It will take a week for the Fed;s to do paperwork, But I can have my job back, Looks like the FMLA is worth getting after-all., Everyone should watch this as it addressed the problems with the workplace as well as other side effect issues.
First day back to work, I got a lot of questions from co-workers, Everybody said i looked Better, I am just taking it one day at a time, I suspect they will at one point hassle me , but right now i still got the Man riding there donkey. My plan now is to work a year pay back my 401k and move on,
The Ohio Attorney I spoke to , my bankruptcy Lawyer , Said the agreement is more than fair , it does not limit me to move on , I can work to 10 days and get my back pay and resign if I like. The work place is in KY and I am in OH, That makes things more difficult. I have borrowed some funds from my 401k, working for them for one year will allow me to pay that back and then I can move on with all my investment intact, That along with the insurance. I am going to take this deal and feel it is the best possible outcome and in my own best interest to do so.
-- Edited by Huey on Friday 29th of August 2014 02:18:36 AM
Isiscat is absolutely correct. I have never practiced in the area of Employment law, but would always recommend consulting an attorney on legal issues that could impact your current and future financial circumstances. There may be absolutely no significance regarding how quickly DHL settled this matter, apparently in your favor, but a knowledgeable attorney could advise you if the agreement is fair considering their conduct.
Hi Huey:
No, people calling to offer you unsolicited grant money doesn't strike me as legit on its face. But if you are curious find out exactly who this is before you give them ANY information about yourself. Do a reverse phone number check; ask them for their contact information, etc.
ok, on another matter, some government agency, called and told me I could have a grant, I ask if I could use it for research, they said yes, does this sound real to you,?
Hi Huey:
Settling this may well be the way to go but I would strongly encourage you to meet with an attorney in your state who practices in the area of Employment law before signing any settlement agreement. Please keep in mind that the EOC is not your attorney.
You can probably get a free consultation. It would take a couple of hours of your time and you have nothing to lose by doing so. Just tell the EOC atty that your desire is to settle this matter and get back to work asap but that you are having your attorney review the terms of the agreement first. If you are dealing with attorneys no attorney is going to try to get in the way of that. Just do it, okay?
This is the help you can get IF you sign up for the FMLA , The drugs will screw with your job, FMLA is worth the hassle
I got the contract already sighed by DHL, So what do you think . Looks fair to me.
I am vary sarcastic about this at this point, So I am taking the low road and not stir up any more resentment, i will reflect on this of-corse but have to clear my mind of all this hate so I can think straight.
Congrats Huey! After all of this has blown over, what kind of working environment do you think you'll have if you choose to return? Might be a place where you have to endure endless rumbling and backstabbing. Any thoughts on this?
Tig
Well It seems this dilemma with my workplace may be worked out, The Federal commissioner from the EEC called and said he was just off the phone with DHL lawyers and They say They are sorry and will give me all my back pay and have ask me back to work, It will take a week for the Fed;s to do paperwork, But I can have my job back, Looks like the FMLA is worth getting after-all., Everyone should watch this as it addressed the problems with the workplace as well as other side effect issues.
https://www.youtube.com/watch?v=5b7o2fBSI2M